РУС ENG
Министерство науки и высшего образования Российской Федерации
Российская Академия Наук

Новости

Сотрудник Лаборатории разработки и исследования полифункциональных катализаторов к.х.н. Павел Соколовский стал победителем конкурса грантов Президента Российской Федерации для государственной поддержки молодых российских ученых – кандидатов наук
28 декабря 2021 г.
Сотрудник Лаборатории разработки и исследования полифункциональных катализаторов к.х.н. Павел Соколовский стал победителем конкурса грантов Президента Российской Федерации для государственной поддержки молодых российских ученых – кандидатов наук
Грант Президента Российской Федерации для государственной поддержки молодых российских ученых – кандидатов наук под номером МК-2178.2022.4 будет направлен…
Сотрудник лаборатории химии диазосоединений, к.х.н. Дмитрий Денисов стал победителем конкурса 2022 года на право получения грантов Президента Российской Федерации для государственной поддержки молодых российских ученых – кандидатов наук
28 декабря 2021 г.
Сотрудник лаборатории химии диазосоединений, к.х.н. Дмитрий Денисов стал победителем конкурса 2022 года на право получения грантов Президента Российской Федерации для государственной поддержки молодых российских ученых – кандидатов наук
Грант Президента Российской Федерации для государственной поддержки молодых российских ученых – кандидатов наук под номером МК-4609.2022.1.3 будет направлен…
Сотрудник лаборатории азотсодержащих соединений к.х.н. Алексей Изместьев стал победителем конкурса 2022 года на право получения грантов Президента Российской Федерации для государственной поддержки молодых российских ученых – кандидатов наук
28 декабря 2021 г.
Сотрудник лаборатории азотсодержащих соединений к.х.н. Алексей Изместьев стал победителем конкурса 2022 года на право получения грантов Президента Российской Федерации для государственной поддержки молодых российских ученых – кандидатов наук
Грант Президента Российской Федерации для государственной поддержки молодых российских ученых – кандидатов наук под номером МК-2375.2022.1.3 будет направлен…
Сотрудник лаборатории химии диазосоединений, к.х.н. Денис Борисов стал победителем конкурса 2022-2024 года на право получения стипендии Президента РФ молодым ученым и аспирантам
28 декабря 2021 г.
Сотрудник лаборатории химии диазосоединений, к.х.н. Денис Борисов стал победителем конкурса 2022-2024 года на право получения стипендии Президента РФ молодым ученым и аспирантам
Стипендия Президента Российской Федерации для государственной поддержки молодых российских ученых и аспирантов под номером СП-243.2022.4 будет направлена…
С участием ИОХ РАН ведутся разработки фотофармакологических агентов для лечения эпидермоидной карциномы
27 декабря 2021 г.
С участием ИОХ РАН ведутся разработки фотофармакологических агентов для лечения эпидермоидной карциномы
Использование светочувствительных малых молекул в качестве ингибиторов полимеризации тубулина может быть одним из решений проблем специфичности противоопухолевых…
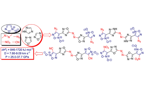
Учёными ИОХ РАН разработано новое семейство высокоэнергетических компонентов ракетных топлив на основе полициклических каркасных мультинитраминовых структур
24 декабря 2021 г.
Учёными ИОХ РАН разработано новое семейство высокоэнергетических компонентов ракетных топлив на основе полициклических каркасных мультинитраминовых структур
Энергоёмкие соединения представляют собой особую категорию материалов, обладающих большим количеством накопленной химической энергии, которая может высвобождаться…
В ИОХ РАН состоялась защита диссертации по теме «Pd- и Cu-катализируемая функционализация 2,5 дизамещенных фуранов – ценных продуктов конверсии возобновляемой растительной биомассы»
23 декабря 2021 г.
В ИОХ РАН состоялась защита диссертации по теме «Pd- и Cu-катализируемая функционализация 2,5 дизамещенных фуранов – ценных продуктов конверсии возобновляемой растительной биомассы»
22 декабря в Конференц-зале института органической химии имени Н. Д. Зелинского состоялась защита диссертации Богдана Яновича Карлинского на соискание степени…
В ИОХ РАН состоялась защита диссертации по теме “Исследование динамической природы каталитических систем на основе N-гетероциклических карбеновых комплексов палладия в реакциях Мизороки-Хека и гидрирования
23 декабря 2021 г.
В ИОХ РАН состоялась защита диссертации по теме “Исследование динамической природы каталитических систем на основе N-гетероциклических карбеновых комплексов палладия в реакциях Мизороки-Хека и гидрирования
22 декабря в Конференц-зале Института органической химии имени Н. Д. Зелинского прошла защита диссертации Екатерины Алексеевны Денисовой на соискание ученой…
Вспоминая Роберта Граббса. Мировое научное сообщество прощается с выдающим нобелевским лауреатом по химии.
23 декабря 2021 г.
Вспоминая Роберта Граббса. Мировое научное сообщество прощается с выдающим нобелевским лауреатом по химии.
19 декабря в возрасте 79 лет скончался выдающийся американский химик, лауреат Нобелевской премии 2005 года, друг Института органической химии имени Н.Д.…