РУС ENG
Министерство науки и высшего образования Российской Федерации
Российская Академия Наук

Новости

В ИОХ РАН состоялась защита диссертации по теме «Pd- и Cu-катализируемая функционализация 2,5 дизамещенных фуранов – ценных продуктов конверсии возобновляемой растительной биомассы»
23 декабря 2021 г.
В ИОХ РАН состоялась защита диссертации по теме «Pd- и Cu-катализируемая функционализация 2,5 дизамещенных фуранов – ценных продуктов конверсии возобновляемой растительной биомассы»
22 декабря в Конференц-зале института органической химии имени Н. Д. Зелинского состоялась защита диссертации Богдана Яновича Карлинского на соискание степени…
В ИОХ РАН состоялась защита диссертации по теме “Исследование динамической природы каталитических систем на основе N-гетероциклических карбеновых комплексов палладия в реакциях Мизороки-Хека и гидрирования
23 декабря 2021 г.
В ИОХ РАН состоялась защита диссертации по теме “Исследование динамической природы каталитических систем на основе N-гетероциклических карбеновых комплексов палладия в реакциях Мизороки-Хека и гидрирования
22 декабря в Конференц-зале Института органической химии имени Н. Д. Зелинского прошла защита диссертации Екатерины Алексеевны Денисовой на соискание ученой…
Вспоминая Роберта Граббса. Мировое научное сообщество прощается с выдающим нобелевским лауреатом по химии.
23 декабря 2021 г.
Вспоминая Роберта Граббса. Мировое научное сообщество прощается с выдающим нобелевским лауреатом по химии.
19 декабря в возрасте 79 лет скончался выдающийся американский химик, лауреат Нобелевской премии 2005 года, друг Института органической химии имени Н.Д.…
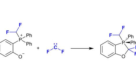
Статье исследователей ИОХ РАН была посвящена обложка журнала European Journal of Organic Chemistry
21 декабря 2021 г.
Статье исследователей ИОХ РАН была посвящена обложка журнала European Journal of Organic Chemistry
В Европейском журнале органической химии была опубликована статья, посвященная изучению реакций азидофенилселенилирования и ацетоксифенилселенилирования,…
В ИОХ РАН открыты новые аспекты реакционной способности производных алломальтола под действием УФ-облучения
21 декабря 2021 г.
В ИОХ РАН открыты новые аспекты реакционной способности производных алломальтола под действием УФ-облучения
Изучение различных трансформаций гетероциклических систем, протекающих под действием УФ-облучения, является важной областью органической фотохимии. Среди…
В ИОХ РАН состоялась Всероссийская конференция «Органические радикалы: фундаментальные и прикладные аспекты» (2021)
20 декабря 2021 г.
В ИОХ РАН состоялась Всероссийская конференция "Органические радикалы: фундаментальные и прикладные аспекты" (2021)
В середине декабря в ИОХ РАН прошла Всероссийская конференция "Органические радикалы: фундаментальные и прикладные аспекты", посвященная исследованиям…
Сотрудник Института органической химии имени Н. Д. Зелинского Сергей Григорьевич Злотин получил Медаль «За вклад в реализацию государственной политики в области научно-технологического развития»
17 декабря 2021 г.
Сотрудник Института органической химии имени Н. Д. Зелинского Сергей Григорьевич Злотин получил Медаль «За вклад в реализацию государственной политики в области научно-технологического развития»
Во время заседания Ученого совета, состоявшегося 16 декабря, Медаль «За вклад в реализацию государственной политики в области научно-технологического развития»…
Сотрудник Института органической химии имени Н. Д. Зелинского Олег Алексеевич Лукьянов был награжден Медалью «За вклад в реализацию государственной политики в области научно-технологического развития»
17 декабря 2021 г.
Сотрудник Института органической химии имени Н. Д. Зелинского Олег Алексеевич Лукьянов был награжден Медалью «За вклад в реализацию государственной политики в области научно-технологического развития»
В ходе заседания Ученого совета, прошедшего 16 декабря, в числе награжденных почетными грамотами и благодарностями высокой награды был удостоен доктор…
Сотрудник Института органической химии имени Н. Д. Зелинского Андрей Владимирович Демин был награжден Медалью «За безупречный труд и отличие III степени»
17 декабря 2021 г.
Сотрудник Института органической химии имени Н. Д. Зелинского Андрей Владимирович Демин был награжден Медалью «За безупречный труд и отличие III степени»
16 декабря в конференц-зале Института органической химии прошло заседание Ученого совета. В ходе мероприятия состоялось подведение итогов года, были озвучены…
И умом, и красотой: сотрудницы Института органической химии имени Н.Д. Зелинского получили медали Российской академии наук за свою научную деятельность.
17 декабря 2021 г.
И умом, и красотой: сотрудницы Института органической химии имени Н. Д. Зелинского получили медали Российской академии наук за свою научную деятельность.
В рамках проходившего на прошлой неделе общего собрания Отделения химии и наук о материалах РАН медали Российской академии наук были вручены талантливым…